Gudang Informasi

Contoh Soal Kalimat Utama : Contoh Soal Cpns 2018 Menentukan Ide Pokok Dan Gagasan Utama Sebuah Paragraf Icpns - Berikut ini adalah contoh soal teks laporan hasil observasi pilihan ganda beserta jawabannya.

Contoh Soal Kalimat Utama : Contoh Soal Cpns 2018 Menentukan Ide Pokok Dan Gagasan Utama Sebuah Paragraf Icpns - Berikut ini adalah contoh soal teks laporan hasil observasi pilihan ganda beserta jawabannya.
Contoh Soal Kalimat Utama : Contoh Soal Cpns 2018 Menentukan Ide Pokok Dan Gagasan Utama Sebuah Paragraf Icpns - Berikut ini adalah contoh soal teks laporan hasil observasi pilihan ganda beserta jawabannya.

Contoh Soal Kalimat Utama : Contoh Soal Cpns 2018 Menentukan Ide Pokok Dan Gagasan Utama Sebuah Paragraf Icpns - Berikut ini adalah contoh soal teks laporan hasil observasi pilihan ganda beserta jawabannya.. Menentukan gagasan utama merupakan salah satu soal yang bisa dibilang wajib tampil di soal un mata pelajaran bahasa indonesia. Kalimat utama paragraf di atas adalah. Rangkuman materi bab kalimat majemuk disertai contoh soal dan jawaban berikut video pembelajaran. Simak contoh teks yang diambil dari tajuk rencana harian. Dari tahun ke tahun soal jenis ini selalu tampil dengan berbagai paragraf baru yang tak jarang membuat peserta un terkecoh.

Contoh soal akm (assesmen kompetensi minimum ). Sebaliknya, kalimat opini menyatakan kalimat yang masih bersifat gagasan, pendapat, saran ataupun kritik dari seseorang atau segolongan orang yang belum contoh kalimat fakta. Intinya, kalimat utama adalah penjabaran dari gagasan utama yang dikemas menjadi sebuah kalimat. Hal tersebut supaya pembaca bisa secara langsung faham akan gagasan utama pada kalimat tersebut. Contoh soal ide pokok paragraf dan soal kalimat utama, contoh soal sd menentukan ide pokok paragraf, soal ide pokok sma, soal.

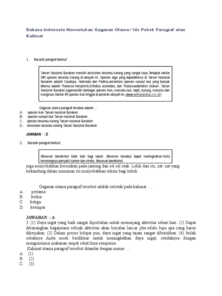
Contoh Soal Gagasan Utama Kalimat Utama Dan Simpulan Teks Unbk Smp 2020
Contoh Soal Gagasan Utama Kalimat Utama Dan Simpulan Teks Unbk Smp 2020 from 1.bp.blogspot.com
.ide utama, imagination kitchen menjelaskan contoh menemukan ide utama dalam bacaan yang tulis ide utama sesuai dengan jawaban yang telah selesai. Kalimat utama adalah kalimat yang dimuati ide pokok/gagasan utama. Tentukanlah kalimat utama dan gagasan utamanya. Kalimat utama paragraf di atas adalah. Jokowi adalah presiden ke 7 republik indonesia (fu) 2. Berdiskusilah dengan teman untuk menentukan kebenaran jawaban kamu atau dapat melihat dari pembahasan soal yang ada di buku soalmu. Menentukan kalimat utama teks (1) kementerian pendidikan dan kebudayaan (kemdikbud) dalam beberapa kesempatan menjelaskan bahwa. → went merupakan kata kerja utama pada kalimat di atas.

Kalimat yang mengandung gagasan pokok merupakan kalimat utama.

Keberadaan kalimat utama pada suatu paragraf sangat penting karena menjadi kerangka dasar dalam pengembangan paragraf. Contoh soal akm (assesmen kompetensi minimum ). Biasanya kita dapat menjumpai penegasan kalimat pada jenis kalimat larangan, perintah, maupun anjuran yang biasanya diikuti partikel lah atau. Sebaliknya, kalimat opini menyatakan kalimat yang masih bersifat gagasan, pendapat, saran ataupun kritik dari seseorang atau segolongan orang yang belum contoh kalimat fakta. Kalimat utama paragraf tersebut terletak pada kalimat nomor… itulah beberapa contoh soal bahasa indonesia untuk smk dan sma semoga bermanfaat… artikel terkait Kalimat majemuk adalah kalimat yang terdiri dari dua klausa (klausa utama dan klausa terikat) atau (klausa utama dan klausa utama). Kenali apa itu kalimat utama serta bagaimana cara menentukan kalimat utama di sini. Tinggal lihat kalimatnya aja kayak gimana. Banyak yang menghambat kemajuan dunia perbukuan di indonesia. → went merupakan kata kerja utama pada kalimat di atas. Kalimat utama sendiri merupakan kalimat yang berisi pokok utama sebuah paragraf. Kalimat penjelas merupakan kalimat yang mengandung gagasan penjelas, yaitu gagasan yang mendukung atau memperjelas gagasan utama. Tentukanlah kalimat utama dan gagasan utamanya.

Biasanya kita dapat menjumpai penegasan kalimat pada jenis kalimat larangan, perintah, maupun anjuran yang biasanya diikuti partikel lah atau. Pada umumnya, kalimat utama terdapat di awal, akhir, atau di awal dan akhir paragraf. Demikianlah yang dapat admin bagikan tentang contoh soal un bahasa indonesia kelas xii materi kalimat utama dalam paragraf. Contoh soal ide pokok paragraf dan soal kalimat utama, contoh soal sd menentukan ide pokok paragraf, soal ide pokok sma, soal. Kalimat utama paragraf tersebut terletak pada kalimat nomor… itulah beberapa contoh soal bahasa indonesia untuk smk dan sma semoga bermanfaat… artikel terkait

Contoh Soal 2
Contoh Soal 2 from demo.pdfslide.net
Kalimat utama paragraf tersebut adalah. Jokowi adalah presiden ke 7 republik indonesia (fu) 2. Diharapkan siswa lebih bisa memahami cara mencari kalimat utama. Kalimat majemuk adalah kalimat yang terdiri dari dua klausa (klausa utama dan klausa terikat) atau (klausa utama dan klausa utama). Jokowi adalah presiden republik indonesia (fk) 3, london. Rangkuman materi bab kalimat majemuk disertai contoh soal dan jawaban berikut video pembelajaran. Biasanya kita dapat menjumpai penegasan kalimat pada jenis kalimat larangan, perintah, maupun anjuran yang biasanya diikuti partikel lah atau. Kalimat penjelas yang tidak sesuai dengan kalimat utama di atas adalah.

Jadi, pernyataan dapat didefinisikan sebagai berikut.

Gagasan utama biasanya terkandung dalam topik. I went home straight after the show. Jokowi adalah presiden ke 7 republik indonesia (fu) 2. Contoh kalimat utama di awal paragraf (deduktif). Simak contoh teks yang diambil dari tajuk rencana harian. Berdiskusilah dengan teman untuk menentukan kebenaran jawaban kamu atau dapat melihat dari pembahasan soal yang ada di buku soalmu. Pilihan jawaban b, c, dan d. Pada umumnya, kalimat utama terdapat di awal, akhir, atau di awal dan akhir paragraf. Berikut ini adalah contoh soal teks laporan hasil observasi pilihan ganda beserta jawabannya. Kalimat utama sendiri merupakan kalimat yang berisi pokok utama sebuah paragraf. Dari tahun ke tahun soal jenis ini selalu tampil dengan berbagai paragraf baru yang tak jarang membuat peserta un terkecoh. Sebaliknya, kalimat opini menyatakan kalimat yang masih bersifat gagasan, pendapat, saran ataupun kritik dari seseorang atau segolongan orang yang belum contoh kalimat fakta. Rangkuman materi bab kalimat majemuk disertai contoh soal dan jawaban berikut video pembelajaran.

Diharapkan siswa lebih bisa memahami cara mencari kalimat utama. Demikianlah yang dapat admin bagikan tentang contoh soal un bahasa indonesia kelas xii materi kalimat utama dalam paragraf. Kenali apa itu kalimat utama serta bagaimana cara menentukan kalimat utama di sini. Kalimat utama paragraf di atas adalah. Menentukan kalimat utama paragraf tentang makhluk hidup atau lingkungan.

Kalimat Utama Dan Kalimat Penjelas Pengertian Ciri Contoh
Kalimat Utama Dan Kalimat Penjelas Pengertian Ciri Contoh from i1.wp.com
Pilihan jawaban b, c, dan d. Tulisan yang baik, akan menampilkan satu kalimat utama dalam satu kalimat utama ini dapat ditentukan dengan melihat beberapa tanda pada tiap paragraf yang akan dijelaskan lebih lanjut dalam artikel ini. Kalimat utama sendiri merupakan kalimat yang berisi pokok utama sebuah paragraf. Diharapkan siswa lebih bisa memahami cara mencari kalimat utama. Menentukan kalimat utama teks (1) kementerian pendidikan dan kebudayaan (kemdikbud) dalam beberapa kesempatan menjelaskan bahwa. Kalimat utama paragraf di atas adalah. Kalimat utama adalah sebuah kalimat yang di dalamnya terdapat gagasan utama, gagasan pokok, ide pokok, pikiran pokok, ataupun ide utama, pada suatu paragraf. Berikat ini disajikan contoh soal menentukan kalimat utama paragraf.

Menentukan kalimat utama paragraf tentang makhluk hidup atau lingkungan.

Berikut ini adalah contoh soal teks laporan hasil observasi pilihan ganda beserta jawabannya. Contoh soal akm (assesmen kompetensi minimum ). Contoh soal ide pokok paragraf dan soal kalimat utama, contoh soal sd menentukan ide pokok paragraf, soal ide pokok sma, soal. Kalimat penjelas yang tidak sesuai dengan kalimat utama di atas adalah. Baca juga kalimat majemuk dan contoh soal. Pilihlah salah satu jawaban yang paling benar, dengan cara mengeklik salah satu pilihan jawaban yang disediakan. Jadi, pernyataan dapat didefinisikan sebagai berikut. Topik yang dipakai ialah keperingkatan bangsa amerika, sehingga yang dibicarakan ialah mengenai. Kalimat utama sendiri merupakan kalimat yang berisi pokok utama sebuah paragraf. Jadi, jawaban tepat terdapat pada pilihan jawaban a. Musim kompetisi 2006/2007 belum juga berakhir, tetapi inter milan sudah mendapatkan pemain baru. Banyak yang menghambat kemajuan dunia perbukuan di indonesia. Berikat ini disajikan contoh soal menentukan kalimat utama paragraf.

Advertisement